苹果蠹蛾(Cydia pomonella)是果树生产中的重要害虫,可危害苹果、梨、杏、桃和山楂等多种经济作物。长期以来,其防控在很大程度上依赖化学杀虫剂,但由此带来的抗药性、环境污染及果品安全等问题日益突出。以信息化学物质为基础的绿色防控策略,尤其是基于寄主挥发物和信息素的监测与诱控技术,正成为害虫综合治理的重要方向。
2026年3月,农林生物安全全国重点实验室、农业农村部植物检疫有害生物监测防控重点实验室、中国农业大学植物保护学院李志红教授团队在国际学术期刊《Journal of Agricultural and Food Chemistry》发表了题为“Structural and Functional Basis of Host-Volatile Binding by Antennal Odorant-Binding Proteins in the Codling Moth Cydia pomonella (Lepidoptera: Tortricidae)”的研究论文。

该研究从“候选蛋白筛选-配体结合分析-关键位点解析-体内功能验证”多个层面,构建了苹果蠹蛾寄主挥发物识别的结构与功能框架,不仅加深了对鳞翅目害虫外周嗅觉机制的认识,也为基于关键挥发物和嗅觉靶标的绿色防控技术研发提供了新的思路。相关成果对于优化苹果蠹蛾监测诱集体系、推动果树害虫可持续治理具有重要意义。

图1苹果蠹蛾对寄主挥发物的结合和识别机制示意图
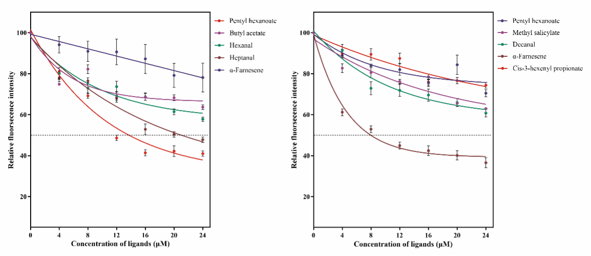
气味结合蛋白(odorant-binding proteins, OBPs)是昆虫嗅觉感知过程中的第一道分子关口,负责在触角感器淋巴中捕获并转运疏水性气味分子,在嗅觉灵敏性和选择性形成中发挥关键作用。本研究从苹果蠹蛾中筛选出两个在雌成虫触角中高表达的候选蛋白CpomOBP9和CpomOBP18,并结合荧光竞争结合实验、蛋白结构建模、分子对接、定点突变、RNA干扰以及行为学和触角电位测定,对其功能进行了系统解析。研究共分析了27种寄主相关挥发物,结果表明:CpomOBP9对己酸戊酯(pentyl hexanoate)表现出最高亲和力,而 CpomOBP18则优先结合α-法呢烯(α-farnesene)。

图2 CpomOBP9与CpomOBP18对不同寄主挥发物结合特性比较
进一步研究发现,Lys91是CpomOBP9识别己酸戊酯的关键氨基酸位点;而Ile32、Leu35、Phe49和Leu50则对CpomOBP18结合α-法呢烯具有重要作用。其中,Lys91突变后,CpomOBP9几乎完全失去对己酸戊酯的结合能力;多个关键位点突变后,CpomOBP18对α-法呢烯的亲和力也显著下降。这些结果从结构层面揭示了苹果蠹蛾对寄主挥发物进行分子识别的关键基础。

图3 CpomOBP9与CpomOBP18突变后荧光竞争结果
在体内功能验证方面,研究团队通过RNAi显著降低了CpomOBP9和 CpomOBP18的表达水平。基因干扰后,苹果蠹蛾对相应寄主挥发物的Y型管行为选择反应和EAG均明显减弱。其中行为测定显示,苹果蠹蛾对己酸戊酯和α-法呢烯分别在特定浓度下表现出较强趋向性;而干扰对应OBP基因后,这种趋向性显著下降,进一步证明了这两个蛋白在寄主挥发物识别中的重要作用。

图4 RNAi后24小时与48小时的Y型管实验
中国农业大学农林生物安全全国重点实验室和农业农村部植物检疫性有害生物监测防控重点实验室为论文第一完成单位,已毕业博士郭腾达、已毕业硕士黄昱萌为论文共同第一作者,秦誉嘉副教授为通讯作者,此外团队李志红教授、沈阳农业大学杨雪清教授、中国农业科学院植物保护研究所张永军研究员也参与了此项工作。该研究得到了农林生物安全全国重点实验室联合攻关项目、国家重点研发计划项目的资助。
原文链接:https://doi.org/10.1021/acs.jafc.5c16552
本文转自:https://cpp.cau.edu.cn/art/2026/3/31/art_21979_1105544.html